Опис продукції
Англійська назва: N-ацетил-каліхіміцин
Номер CAS: 108212-76-6
Молекулярна формула: C57H76IN3O22S4
Молекулярна маса 1410.38
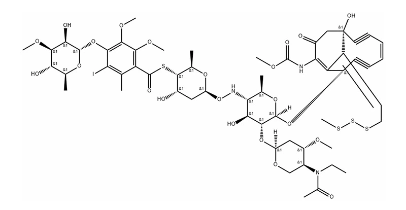
Молекулярна структура

О-ацетил-келіміцинові властивості
P-щільність 1,56 ± 0. 1 г /см3 (прогнозовано)
Зберігайте на -20 ступінь
Розчинність розчинної в диметилсульфоксиді
Морфологічний твердий
Коефіцієнт кислотності (PKA) 7.13 ± 0. 60 (прогнозовано)
Кольоровий білий до бежевого
Використання та синтез N-ацетил-келіміцину
N-ацетил-каліхімоцин-це клас високоактивних протипухлинних антибіотиків.
Популярні Мітки: N-ацетил-каліхімосицин високоактивно протипухлинний антибіотик, Китай N-ацетил-каліхімосицин високоактивні протипухлинні антибіотики Постачальники

